TINS- 经典技术分析的神经网络重构
论文链接:
“ 深度神经网络(DNNs)在计算机视觉、自然语言处理等领域已成为关键推动技术,但其在算法交易领域仍存在显著短板:缺乏专门设计的标准化神经网络架构,以融合传统技术分析与现代计算框架。本研究提出技术指标网络(Technical Indicator Networks, TINs),通过系统性地将MACD等规则型技术指标转化为可解释的神经网络结构,在保留传统指标数学完整性的同时,结合强化学习实现动态参数优化,显著提升了系统化交易方法的鲁棒性与可解释性。TINs通过模块化领域特定函数(如自适应池化、偏置正则化除法)支持多种指标的可扩展重构,融合了经典方法的透明性与DNNs的灵活性,为从业者利用基于市场动态的AI框架复兴传统策略提供了可能。”
01
—
背景
近年来,深度学习与技术指标的结合在交易策略优化中展现出显著潜力:LSTM网络被用于捕捉金融市场的复杂时间依赖;高频交易框架通过技术指标提升预测性能; 集成深度学习模型结合技术指标优化短期交易策略;强化学习被用于动态优化交易组合等。然而,现有研究未充分考虑市场微观结构、交易约束及行为偏差等基本交易原则,导致策略的普适性与鲁棒性不足。作者通过十余年实证研究发现,许多量化交易指标可被建模为具有特定拓扑结构的神经网络,即TINs——一种将传统技术指标的结构原则泛化为可解释、模块化的神经网络表示框架。
02
—
问题定义
算法交易领域的核心挑战在于:传统技术分析依赖固定数学公式(如MACD、RSI),缺乏动态适应性;而现有深度学习方法(如LSTM、CNN)虽能捕捉复杂模式,但架构设计未针对交易场景优化,导致可解释性不足与领域适配性差。具体表现为:
1. 缺乏专门为技术分析设计的神经网络架构,现有模型多直接迁移自图像、NLP等领域;
2. 传统指标的固定参数限制了其在不同市场环境(如股票、商品)的泛化能力;
3. 单一数据源(如仅价格)难以捕捉跨市场、跨领域的复杂关联(如新闻情绪、宏观经济指标)。
03
—
方法
TINs的核心思想是将传统技术指标的数学逻辑映射到神经网络拓扑中,通过权重初始化保留经典行为,结合强化学习实现动态优化。
3.1 技术指标的拓扑表示
传统技术指标(如MA、MACD、RSI)的数学公式可对应神经网络层结构。例如:移动平均线(MA)的计算式

对应全连接层(权重 w_i) 为时间窗口内的均匀或指数衰减权重);

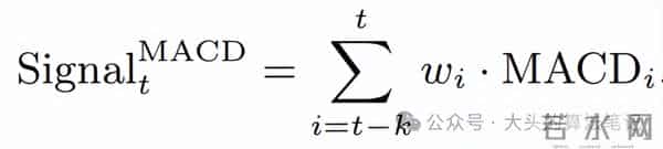
MACD 的计算

和信号生成

对应“快慢MA层→减法层→信号平滑层”的层级结构。

3.2 网络构建与训练策略
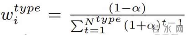
权重初始化:根据传统指标的数学定义,如SMA的

EMA的

其中

初始化网络权重,确保与传统指标行为一致。
训练策略: 监督学习以历史交易信号为标签,利用领域知识引导训练,但可能限制模型探索新策略;强化学习(如DDQN、PPO、Actor-Critic)通过模拟交易环境(定义奖惩函数)动态优化参数,适应市场变化。
3.3 关键操作与模块化设计
TINs通过以下操作支持多指标重构:
减法层:如MACD的快慢MA差;
偏置正则化除法:用于RSI、ROC等指标,避免训练中除零导致的梯度不稳定;
自适应池化(如1D最大/最小池化):用于随机震荡指标(Stochastic Oscillator)的高低价提取;
均值绝对偏差(MAD):用于CCI指标的价格偏离度计算。

3.4 多维扩展与跨市场分析
传统指标(如MACD)仅处理单资产价格数据,而TINs支持:
多源数据整合:同时输入价格、交易量、新闻情绪向量(NLP提取)、宏观经济指标等;
跨资产分析:通过共享拓扑逻辑(如MACD的快慢MA层)处理多股票数据,捕捉资产间关联。
04
—
实验
4.1 数据集与实验设置
数据集:美国US30指数成分股(30只股票)的日收盘价;
对比对象:传统MACD、仅价格输入的MACD IN(TIN-MACD Price)、价格+OBV(能量潮指标)输入的MACD IN(TIN-MACD Price+OBV)、US30指数买入持有策略;
评估指标:夏普比率(风险调整收益)、索提诺比率(下行风险调整收益)、累计收益;
训练方法:基于Deep Q-Learning的强化学习,输入52天历史价格,隐藏层26节点(模拟MACD参数)。
4.2 实验结果
风险调整收益:TIN-MACD Price+OBV的夏普比率(2.7357)与索提诺比率(3.9886)显著高于传统MACD(1.6474、1.8450)和US30指数(1.4991、2.3174);累计收益(19.93%)同样优于传统MACD(14.16%)。

跨资产表现:在多数股票(如NFLX、WMT、AAPL)中,TIN-MACD的夏普比率与索提诺比率均超过传统MACD;动态适应性:TIN-MACD的收益分布更偏向高值,表明其在不同市场环境下的泛化能力更强。
鲁棒性验证:验证了TINs在保留传统指标可解释性的同时,通过强化学习优化权重,显著提升了策略的适应性。例如,TIN-MACD的每个节点和连接直接对应金融公式(如快慢MA的权重),从业者可清晰追溯信号生成逻辑。

声明:本站所有文章资源内容,如无特殊说明或标注,均为采集网络资源。如若本站内容侵犯了原著者的合法权益,可联系本站删除。
